Healthy soils are invaluable for agriculture. They develop slowly, but degrade rapidly if managed improperly. This study examines the long-term effects of different farming systems in India. The advantages of organic and biodynamic farming systems are particularly evident in the organic carbon content of the soil.
Study report
What it's about
The study was conducted in central India and focused on Vertisol soil types. Vertisols are found all over the world. They have a high clay content and tend to swell when water content is high and form deep cracks during dry periods. This swelling and shrinking behavior makes agricultural use of such soils challenging, especially in the context of climate change and the expected increase in extreme weather events.
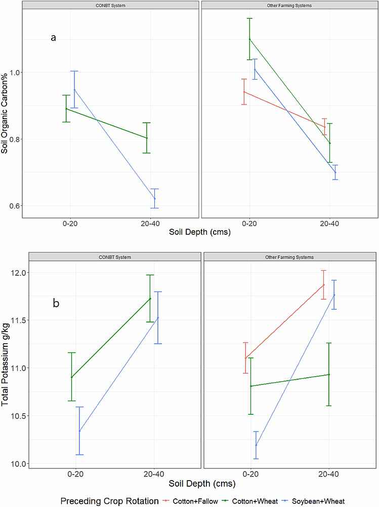
In the BIODYN (biodynamic), BIOORG (organic), CON (conventional), and CONBT (conventional with cotton), the soil organic carbon (SOC) content and soil nutrient content were compared. The study spans twelve years and covers different crop rotations.
More carbon in the soil
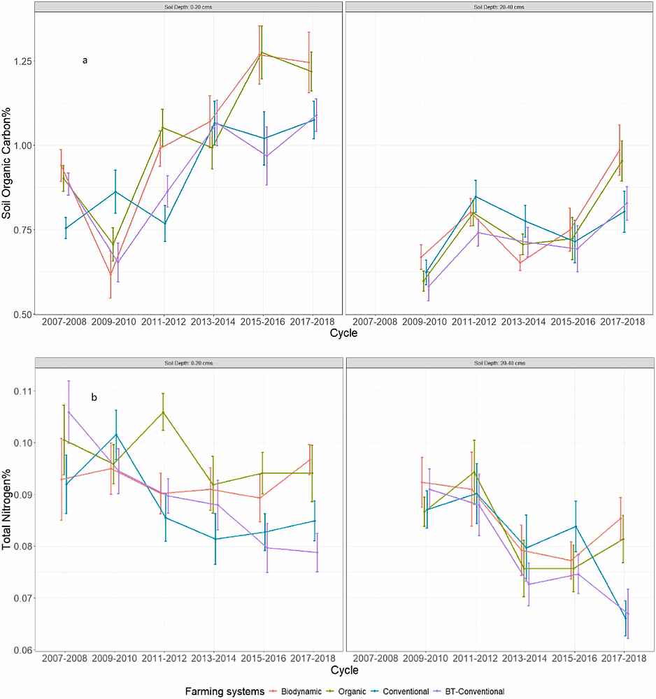
The results show that after about 8 years, organic systems had significantly higher levels of organic soil carbon (+13%) and nitrogen in the top soil layer than the two conventional systems. The differences are attributed to higher quantities and better quality of organic fertilization, as well as slower but more sustainable nutrient release. The conventional systems showed higher nitrogen availability with high mineral fertilizer applications, but this led to accelerated mineralization and lower SOC levels. There were no significant differences between the systems for phosphorus (P) and potassium (K), which can be explained by the high natural K reserves in Vertisols.
In addition to the type of cultivation, crop rotation also had a significant influence: if cotton was grown in the previous rotation, the SOC content increased, especially in the subsoil layer (20–40 cm), presumably due to the deep root system. With soybeans as the previous crop, on the other hand, the potassium content in the topsoil was lower.
Relation to biodynamics
The study illustrates that building up organic soil matter is a long-term process. Biodynamic farming in particular has a positive effect on soil quality, both through the highest reserves of organic soil carbon and the lowest measured soil density. Practices commonly used in biodynamics, such as the use of compost in combination with biodynamic preparations, green manure, and diverse crop rotation, all increase soil quality.
Biodynamic agriculture not only promotes humus formation, but also soil life activity and long-term carbon storage – an important contribution to climate protection. Compared to conventional systems, it has also been shown that the effects of biodynamic methods only become visible after several years, but are then particularly sustainable. For smallholder farms in the tropics and subtropics, the transition to sustainable organic farming offers great potential for improving soil quality, but requires targeted support during the transition phase.
Commentary
Limitations of the study
The results of the study refer to investigations on Vertisol. Although this soil type is found in many regions of the world, the study results cannot be transferred to other soil types. In addition, no exact carbon input quantities were calculated, so it is not possible to trace the sources of the SOC increase in the soil. Comparability with conventional systems is also reduced, as the two biological systems received higher input quantities (e.g., compost) in some cases.
Long-term trials
Long-term trials are crucial for measuring slow processes such as changes in soil quality. They enable more reliable conclusions to be drawn about different agricultural practices and their effects on soil, climate, and yield. Such trials therefore also serve as a basis for developing strategies for soil protection, climate stability, and closing nutrient cycles.
Given the long duration of the trials, it is important to select the initial conditions and methods in such a way that long-term comparability and the identification of trends are possible. Only in this way can reliable findings be obtained that remain invisible in short-term studies.
Sources and further links for this article
- Original study:
Singh, A., Kiboi, M., Bhullar, G. S., Sisodia B. S., Bautze, D., Patidar, I., Konde, N., Ledroit, C., Riar, A. Long-term impacts of farming systems and preceding crops on soil organic carbon and physiochemical properties in Vertisols of subtropical India. Soil Advances, Volume 4, 2025, 100083.
https://doi.org/10.1016/j.soilad.2025.100083 - The study is covered by Creative Commons (link to license) and has been summarized for this study report.




